Chemoreception and kin discrimination by neonate smooth snakes, Coronella austriaca – Pernetta et al. 2008
- Abstract: This study wanted to fill the gaps left in snake prey selection via chemoreception and wanted to investigate whether kin discrimination was present in a cannibalism practicing species. Pre-shedding the snakes showed less prey selection and post shedding showed higher response for non-siblings compared to kin, similar to their prey response. First evidence of kin selection in snakes and evidence on the method of recognition.
- Introduction:
Vomeronasal chemoreception is important for perceiving the environment and normally done by collecting chemical stimuli during tongue flicks, this aids in reproduction, predator avoidance and prey location. This is an important tool in a snake’s arsenal b/c of their poor eyesight, also b/c neonate snakes are innately responsive to certain prey types and use chemoreception for tracking. However, some reptiles like lizards and snakes also display kin selection while also displaying cannibalism, which could be beneficial to related individuals since it may preserve inclusive fitness through nepotistic behaviour. Adult smooth snakes have shown the ability to discriminate between prey and also practice cannibalism thus were used as the models for this study. This study specifically looked at 1. Whether ingestively naïve neonate smooth snakes have an innate preference for prey species that constitute a large portion of their adult diet and 2. Whether chemoreception is used as a mechanism for kin discrimination in a snake species in which cannibalism occurs.
- Methods:
N= 9 for 2016 and 19 for 2017, Used 9 gravid females, also collected natural prey species during field work. Cotton tipped applicators were used to keep the scent and scents were acquired by rubbing the applicator across surfaces of the prey species after dipping in de-ionized water. 3 prey scents were used, 2 lizards & 1 mammal, as well as non-sibling and kin snakes as well. Actual Methodology: All animals were exposed to all scent samples with a maximum of 3 samples in a day with a minimum of 30min b/t trials. The first trials happened before their first sheds so within 7 days of birth, and the other trials happened a year later with the difference being that they’ve been exposed to prey vomoders (just vomeronasally sensed equivalents to odours). Trials were done in home vivariums and 5mins were given for them to acclimate to the researcher at which point an applicator was placed before their snout for 60 seconds and tongue flicks were quantified.
- Results:
Pre-shedding– n=9, response to all stimuli other than sibling scent and cologne were significantly higher than water and grasshopper scent was significantly higher than both sibling and cologne. Individuals also were significantly different from one another but not b/t clutches.
Post shedding – n=18 one was excluded, 2 specific prey items were significantly higher than the odourless control, and was also significantly higher than other prey items and non-sibling. Now there were no significant differences b/t individuals, this may mean that like mammals the snakes are most varied in learning and responding when they are juveniles. Therefore maybe impacts from environmental enrichment and other forms of enrichment are most beneficial during this critical time when fluctuations b/t individuals are high, before innate responses to stimuli are solidified and behaviours are set. Another way to say it is maybe they are most flexible when juveniles?
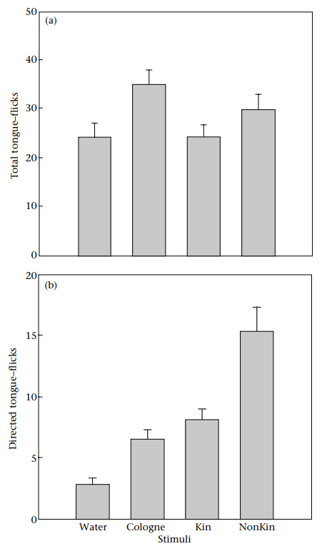
Kin Discrimination – Smart idea is to include the statistics for both the directed and total tongue flicks since not all tongue flicks will be directed and sometimes you’ll see a clearer effect when observing only the directed tongue flicks. Total tongue flicks weren’t really that useful in other than discerning b/t the water sample and others, but directed tongue flicks showed a significant increase when exposed to nonsibling scents compared to both pungent and sibling scents. There was also no difference b/t the pungent control and the sibling scents which is awesome b/c it shows that the snakes probably don’t view them as food at all considering the pungent control was a perfume which would not be edible at all. There is an innate non-feeding response towards siblings b/t neonate snakes!!!!

- Discussion:
The neonate snakes showed a higher prey selectivity after shedding most likely b/c prior to their first shed juvenile snakes tend to aggregate to reduce water loss since their skin is still highly permeable. Permeable b/c they needed to soak in nutrients while in their eggs. After shedding the snakes showed that they had an innate preference for food items that constituted their adult diets and were able to innately discriminate b/t kin and non kin purely based on chemical stimuli. Prior to this the only evidence of kin recognition was in captive timber rattle snakes that were found to rest closer to kin than non kin but they were unable to tell how they did it. Also, the snakes were individually housed thus the snakes are probably recognizing kin via phenotype matching. Furthermore, the difference in response to non-siblings after the first shed highlights the cannibalistic tendencies of the species and the flexibility in priorities as a result of ontogeny. Also reinforces the idea that cryptic social behaviour is present within snakes and may be more common than previously assumed.